يتساءل كثيرٌ من المواطنين في محافظة الجيزة عن تعريفة الركوب الجديدة بمواقف الأقاليم، خاصة على الخطوط التي تربط المنيب بأبو النمرس والحوامدية والبدرشين والعياط، وذلك بعد تحريك أسعار المواد البترولية في ضوء قرار لجنة التسعير التلقائي للمنتجات البترولية بوزارة البترول.
واعتمد الدكتور أحمد الأنصاري محافظ الجيزة، التعريفة الجديدة لسيارات السرفيس والنقل الجماعي الداخلية والخارجية، والتي يتم تطبيقها اعتبارًا من اليوم الثلاثاء، موضحًا أن اللجنة التي تم تشكيلها لتعديل تعريفة الركوب وضعت في اعتبارها مسافة كل خط سير وعدد الرحلات تحقيقًا للعدالة.
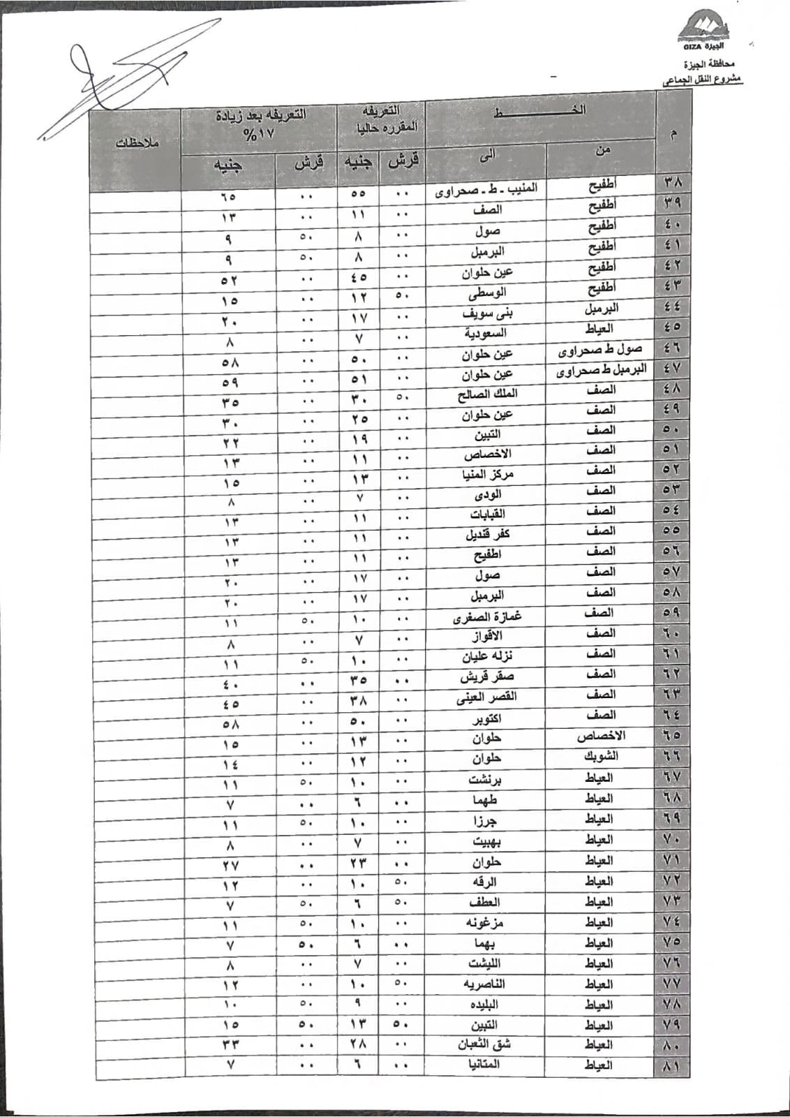
تعريفة سيارات السرفيس بمواقف الأقاليم
ويستعرض "اليوم السابع" في السطور التالية التعريفة الجديدة لخطوط السرفيس بمواقف الأقاليم، بعد زيادة 17%.
وجاءت أجرة الركوب من المنيب إلى أبو النمرس 8 جنيهات، وإلى الحوامدية 9 جنيهات ونصف، فيما بلغت الرحلة إلى البدرشين 11 جنيهًا ونصف، وإلى العياط (طريق زراعي) 26 جنيهًا.
وبلغت أجرة الركوب من الصف إلى عين حلوان 30 جنيهًا، وإلى التبين 22 جنيهًا، وإلى القبابات 13 جنيهًا.
كما وصلت أجرة الركوب من العياط إلى طهما 7 جنيهات، وإلى جرزا 11 جنيهًا ونصف، وإلى بهبيت 8 جنيهات.
كما تم تحديد أجرة الركوب من أوسيم إلى الوراق 10 جنيهات، وإلى برطس 8 جنيهات، وإلى البراجيل 9 جنيهات.
فيما وصلت أجرة الركوب من كرداسة إلى العتبة 20 جنيهًا، وإلى القصر العيني 11 جنيهًا ونصف، وإلى جامعة القاهرة 10 جنيهات ونصف.
حملات مكثفة للرقابة على المواقف
وكلف محافظ الجيزة جهاز السرفيس والأحياء والمراكز بطباعة ملصقات وبانرات بالتعريفة الجديدة والإلتزام بنشرها بالمواقف وتعليقها في مكان واضح للمواطنين والسائقين.
وشدد على ضرورة التأكد من وضع الملصق الخاص بسيارات السرفيس والنقل الجماعي والمتضمن خط السير والأجرة المقررة وفقًا للزيادات الجديدة لعدم قيام قائدى السيارات بزيادة تعريفة الركوب بصورة منفردة أو تقسيم خطوط السير.
ووجه محافظ الجيزة الأجهزة المعنية من جهاز السرفيس وإدارة المرور ورؤساء الأحياء والمراكز ومسؤولي التموين، بالرقابة والمتابعة على مدار الساعة للتأكد من الإلتزام بالتعريفة الجديدة وعدم استغلال المواطنين.

تعريفة الركوب الجديدة

تعريفة الركوب الجديدة

تعريفة الركوب الجديدة

تعريفة الركوب الجديدة